咨询热线
0373-5859666电话:0373-5859666
传真:0373-5859666
邮箱:xiaoshou@dgcrane.com
电动双梁桥式起重机卷筒组的设计计算
卷筒组装置是起重机提升机构中不可缺失的重要组成部分, 其性能及工作的可靠性直接影响到起重机整机的性能和质量。目前起重机的卷筒组装置,主要是用来收放和储存钢丝绳的。它的工作方式就是把驱动装置输出的驱动力传递给钢丝绳,从而通过钢丝绳将驱动装置的回转运动迅速地转换成直线运动。

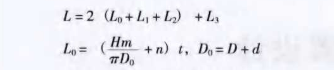
1、起重机卷筒组长度的设计计算
因为起重机卷筒组受到靠边距离的限制,要求卷筒的总长度不能超过设定值L,即总长度。

式中:H——表示起升高度,mm;m——滑轮组倍率;D——卷筒名义直径(槽底直径),mm;Do——卷筒卷绕直径(钢丝绳直径),mm;n——附加圈数,使钢丝绳尾受力减小便于固定,一般n=2~3圈;t——螺旋槽节距,mm;L——固定绳尾时所需长度,如果依传统的固定方式而定,通常L≈3t,mm;L2——与卷简毂配铰螺栓把合需要的长度,mm;L3——由钢丝绳允许的偏斜角决定,允许偏斜度一般约为1:10。
2、起重机卷筒组直径的设计计算
卷筒的名义直径即绳槽底的直径,因此卷筒的直径不能低于规定的下限。

式中:D—卷筒名义直径(卷筒槽底直径),mm;d——钢丝绳直径,mm;h——与工作级别和钢丝绳有关的系数。
3、起重机卷筒组厚度的设计计算
由上述公式和步骤进行计算,得出卷筒直径,现采用焊接卷筒新的结构型式,即用钢板卷制后直接焊接而成,实践证明:应用此结构显然可以减轻卷筒的重量。卷筒壁厚按下面公式计算确定。

根据国家起重机行业的标准要求,考虑到我国钢材材质的可焊接性,卷筒材质可选用Q345B。
4、起重机筒卷组绳槽和节距的设计计算
绳槽和节距的设计可参考JB/T 9006.1-1999《起重机用铸造卷筒直径和槽型》以及《起重机设计手册》等,进行设计计算。
想要了解更多关于河南起重机卷筒组制造批发厂家和起重机卷筒组保护装置的应用资讯,请关注卷筒组网站。
上一篇:河南起重机卷筒组制造批发厂家
- 推荐内容
-
-
钢板焊接卷筒的卷制
钢板焊接卷筒的卷制 钢板焊接卷筒钢材要求 钢材外观质量应符合国...
-
电缆卷筒上的电缆线怎么敷设
电缆卷筒上的电缆线怎么敷设 电缆卷筒是一种为大型移动设备提供...
-
卷筒组加工时钢板切割的方法有哪些
卷筒组加工时钢板切割的方法有哪些? 卷筒组是起重机重要的部件,...
-
立体车库卷筒设计
车俩无处停放问题越来越严重,这也是社会、经济、交通发展的结...
-
起重机卷筒组的长度怎么确定
起重机卷筒组的长度怎么确定 起重机卷筒组的组成 起重机卷筒组在...
-
卷筒组怎么保养维护
卷筒组怎么保养维护 卷筒组是行车上常见,使用比较频繁的配件之...
-
钢板焊接卷筒的卷制


